颜射

当前位置: 主页 >>校园传真>>正文
应急管理与安全工程学院硕士研究生在TOP期刊《Expert Systems with Applications》发表研究成果
日期:2024年12月11日 15:24  点击次数:

本网讯  近期,应急管理与安全工程学院2022级硕士研究生陈堃在谭吉玉老师的指导下,在计算机科学类TOP期刊《Expert Systems With Applications》上发表论文“A generalized TODIM evaluation approach based on the novel score function and trust network under interval-valued hesitant fuzzy environment”。该期刊为中科院一区TOP期刊,影响因子为7.5,CiteScore为13.8,大类排名11/307。应急管理与安全工程学院为论文的第一完成单位,谭吉玉副教授为本论文通讯作者,2022级硕士生陈堃为第一作者。

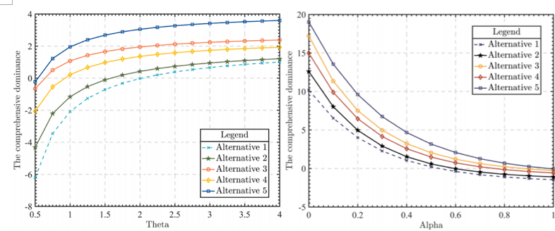
论文重点研究了区间犹豫模糊集(IVHFS)的得分函数,通过考虑区间宽度的模糊性和多个区间的犹豫不确定性,为IVHFS开发了新的偏差函数,基于新的偏差函数和传统的得分函数,开发出新的IVHFS得分函数。并利用IVHFS的新得分函数和信任网络提出了广义的TODIM评估方法。实现了决策者社会关系、职业背景以及心理行为等因素在模糊和复杂的群体决策场景中的应用。

图1. 方法的流程框架

图2. 不同参数的敏感性分析

据悉,应急管理与安全工程学院通过出台研究生科研成果资助办法等一系列措施,大力加强研究生创新能力培养,鼓励高水平成果产出,效果明显。近两年,研究生以第一作者发表中科院二区以上学术论文明显增加,本次研究生以第一作者发表中科院大类一区学术论文标志着应急管理学院研究生培养质量迈上新台阶。

该研究得到了国家自然科学基金项目(No-11771198)的经费支持。

(文/陈堃 编辑/洪小莹)



上一条:颜射 学子在江西省第十二届“华创杯”市场调查分析大赛荣获佳绩
下一条:颜射 召开2024年心理健康教育专项工作总结暨下一阶段工作部署会

扫描二维码分享
相关推荐:
读取内容中,请等待...

Copyright © 2024 yanshe8.com 颜射 All Rights Reserved

                                                                                学校地址:  

                                                                                      [赣州-三江校区(东园、西园)]江西省赣州市客家大道1958号  邮编:341000  

                                                                                      [赣州-红旗校区]江西省赣州市红旗大道86号  邮编:341000

                                                                                      [南昌-南昌校区]江西省南昌市昌北开发区双港东大街1180号  邮编:330013


   移动版    赣ICP备05001230号-1     赣公网安备 36070202000070号